Alfa-pineno
| α-Pinene | ||
|---|---|---|
![]() | ||
![]() | ||
![]() | ||
| Nombre IUPAC | ||
|
(1S,5S)-2,6,6-Trimethyl bicyclo[3.1.1]hept-2-ene ((-)-α-Pinene) | ||
| General | ||
| Fórmula molecular | C10H16 | |
| Identificadores | ||
| Número CAS | 80-56-8[1] | |
| Número RTECS | DT7000000 (unspec. isomer) | |
| ChEBI | 28660 | |
| ChEMBL | CHEMBL3109297 | |
| ChemSpider | 389795 | |
| PubChem | 440968 | |
| UNII | JPF3YI7O34 | |
| KEGG | C06308 | |
|
C\1=C(\[C@@H]2C[C@H](C/1)C2(C)C)C
| ||
| Propiedades físicas | ||
| Masa molar | 136,23 g/mol | |
| Punto de fusión | −64 °C (209 K) | |
| Punto de ebullición | 155 °C (428 K) | |
| Valores en el SI y en condiciones estándar (25 ℃ y 1 atm), salvo que se indique lo contrario. | ||
El α-pineno es un compuesto orgánico de la clase de los terpenos. Es uno de los dos isómeros del pineno;[2] el otro es el β-pineno, un alqueno que contiene un anillo estriado de cuatro miembros. Se encuentra en los aceites de muchas especies de coníferas, sobre todo en las especies Pinus y Picea. También se encuentra en el aceite esencial de romero (Rosmarinus officinalis) y en Satureja myrtifolia (también conocida como Zoufa en algunas regiones).[3][4] Ambos enantiómeros están presentes de forma natural; el (1S,5S)-o (-)-α-pineno es más común en los pinos europeos, mientras que el (1R,5R)-o (+)-α-isómero es más común en Norteamérica. La mezcla racémica de los enantiómeros está presente en algunos aceites esenciales como el aceite de eucalipto y el aceite de cáscara de naranja.
Reactividad

Los derivados comercialmente importantes del α-pineno son el linalol, el geraniol, el nerol, el α-terpineol y el canfeno.[5]
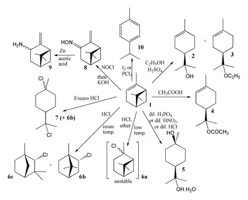
El α-pineno 1 muestra una reactividad derivada de la presencia del anillo de cuatro miembros adyacente al alqueno.[6] El compuesto es propenso a reordenamientos esqueléticos como el reordenamiento de Wagner-Meerwein. Los ácidos suelen dar lugar a productos reordenados. Con ácido sulfúrico concentrado y etanol, los principales productos son el terpineol 2 y su éter etílico 3, mientras que el ácido acético glacial da el acetato 4 correspondiente. Con ácidos diluidos, el hidrato de terpina 5 se convierte en el producto principal.
Papel atmosférico
En la atmósfera el α-pineno reacciona con el ozono, el radical hidroxilo o el radical NO3,[7] lo que da lugar a especies de baja volatilidad que se condensan parcialmente en los aerosoles existentes, generando así aerosoles orgánicos secundarios. Esto se ha demostrado en numerosos experimentos de laboratorio para los mono- y sesquiterpenos.[8][9] Los productos del α-pineno que se han identificado explícitamente son el pinonaldehído, el norpinonaldehído, el ácido pínico, el ácido pinónico y el ácido pinálico.
Usos
El α-pineno es altamente biodisponible, con una absorción pulmonar humana del 60% y un metabolismo o redistribución rápidos.[10]
El α-pineno es antiinflamatorio a través de la PGE1,[11] y es probablemente antimicrobiano.[12] Muestra actividad como inhibidor de la acetilcolinesterasa, ayudando a la memoria.[11] Al igual que el borneol, el verbenol y el pinocarveol, el (-)-α-pineno es un modulador positivo de los receptores GABAA. Actúa en el lugar de unión de las benzodiacepinas.[13]
El α-pineno constituye la base biosintética de los ligandos CB2, como el HU-308.[11]
El α-Pineno es uno de los muchos terpenos y terpenoides que se encuentran en las plantas de cannabis.[14] Estos compuestos también están presentes en niveles significativos en la preparación final de flores de cannabis secas, comúnmente conocida como marihuana.[15] Es ampliamente teorizado por científicos y expertos en cannabis que estos terpenos y terpenoides contribuyen significativamente al «carácter» único o «personalidad» de los efectos únicos de cada variedad de marihuana.[16] El α-Pineno en particular se cree que reduce los déficit de memoria comúnmente reportados como un efecto secundario del consumo de THC. Es probable que demuestre esta actividad debido a su acción como inhibidor de la acetilcolinesterasa, una clase de compuestos que son conocidos por ayudar a la memoria y aumentar el estado de alerta.[17]
El α-Pineno también contribuye significativamente a muchos de los variados, distintos y únicos perfiles de olor de la multitud de cepas, variedades y cultivares de marihuana.[18]
Referencias
- ↑ Número CAS
- ↑ Simonsen, J. L. (1957) The Terpenes (2nd edition) Vol. 2 Cambridge:Cambridge University Press, pp 105-191.
- ↑ PDR for Herbal Medicine. Montvale, NJ: Medical Economics Company. p. 1100.
- ↑ Zebib, Bachar; Beyrouthy, Marc El; Sarfi, Carl; Merah, Othmane (16 de abril de 2015). «Chemical Composition of the Essential Oil of Satureja myrtifolia (Boiss. & Hohen.) from Lebanon». Journal of Essential Oil-bearing Plants 18 (1): 248-254. ISSN 0972-060X. S2CID 95564601. doi:10.1080/0972060X.2014.890075. Archivado desde el original el 4 de agosto de 2016.
- ↑ Sell, Charles S. (2006). «Terpenoids». Kirk-Othmer Encyclopedia of Chemical Technology. ISBN 0471238961. doi:10.1002/0471238961.2005181602120504.a01.pub2.
- ↑ Gilbert, George; Jacobsen, Jerrold J.; Houston Jetzer, Kelly; Phillips, David (2022). Ring Strain - Demonstration (web video). American Chemical Society, Division of Chemical Education – vía ChemEdX.
- ↑ IUPAC Subcommittee on Gas Kinetic Data Evaluation
- ↑ Odum, J. R.; Hoffmann, T.; Bowman, F.; Collins, D.; Flagan, R. C.; Seinfeld, J. H. (1996). «Gas/particle partitioning and secondary organic aerosol yields». Environmental Science and Technology 30 (8): 2580-2585. doi:10.1021/es950943+.
- ↑ Donahue, N. M.; Henry, K. M.; Mentel, T. F.; Kiendler-Scharr, A.; Spindler, C.; Bohn, B.; Brauers, T.; Dorn, H. P.; Fuchs, H.; Tillmann, R.; Wahner, A.; Saathoff, H.; Naumann, K.-H.; Mohler, O.; Leisner, T.; Muller, L.; Reinnig, M.-C.; Hoffmann, T.; Salo, K.; Hallquist, M.; Frosch, M.; Bilde, M.; Tritscher, T.; Barmet, P.; Praplan, A. P.; DeCarlo, P. F.; Dommen, J.; Prevot, A. S. H.; Baltensperger, U. (2012). «Aging of biogenic secondary organic aerosol via gas-phase OH radical reactions». Proceedings of the National Academy of Sciences 109 (34): 13503-13508. PMC 3427056. PMID 22869714. doi:10.1073/pnas.1115186109.
- ↑ Russo, E. B. (2011). «Taming THC: potential cannabis synergy and phytocannabinoid-terpenoid entourage effects». British Journal of Pharmacology 163 (7): 1344-1364. PMC 3165946. PMID 21749363. doi:10.1111/j.1476-5381.2011.01238.x.
- ↑ a b c Russo, E. B. (2011). «Taming THC: potential cannabis synergy and phytocannabinoid-terpenoid entourage effects». British Journal of Pharmacology 163 (7): 1344-1364. PMC 3165946. PMID 21749363. doi:10.1111/j.1476-5381.2011.01238.x.
- ↑ Nissen, L.; Zatta, A.; Stefanini, I.; Grandi, S.; Sgorbati, B.; Biavati, B. (2010). «Caracterización y actividad antimicrobiana de aceites esenciales de variedades industriales de cáñamo (Cannabis sativa L.)». Fitoterapia 81 (5): 413-419. PMID 19969046. doi:10.1016/j.fitote.2009.11.010.
- ↑ Yang, H.; Woo, J.; Pae, A.-N.; Um, M.-Y.; Cho, N.-C.; Park, K.-D.; Yoon, M.; Kim, J.; Lee, C.-J.; Cho, S. (2016). «α-Pinene, a major constituent of pine tree oils, enhances non-rapid eye movement sleep in mice through GABAA-benzodiazepine receptors». Molecular Pharmacology 90 (5): 530-539. PMID 27573669. doi:10.1124/mol.116.105080.
- ↑ Russo, E. B.; McPartland, J. M. (2003). «Cannabis is more than simply Δ9-tetrahydrocannabinol». Psychopharmacology 165 (4): 431-432. PMID 12491031. S2CID 19504014. doi:10.1007/s00213-002-1348-z.
- ↑ Turner, C. E.; Elsohly, M. A.; Boeren, E. G. (1980). «Constituents of Cannabis sativa L. XVII. A review of the natural constituents». Journal of Natural Products 43 (2): 169-234. PMID 6991645. doi:10.1021/np50008a001.
- ↑ Piomelli, D.; Russo, E. B. (2016). «The Cannabis sativa versus Cannabis indica debate: an interview with Ethan Russo, MD». Cannabis and Cannabinoid Research 1 (1): 44-46. PMC 5576603. PMID 28861479. doi:10.1089/can.2015.29003.ebr.
- ↑ Mahmoudvand, H.; Sheibani, V.; Keshavarz, H.; Shojaee, S.; Esmaeelpour, K.; Ziaali, N. (2016). «Acetylcholinesterase Inhibitor Improves Learning and Memory Impairment Induced by Toxoplasma gondii Infection». Iranian Journal of Parasitology 11 (2): 177-185. PMC 5236094. PMID 28096851.
- ↑ Russo, E. B (2011). «Taming THC: potential cannabis synergy and phytocannabinoid-terpenoid entourage effects». British Journal of Pharmacology 163 (7): 1344-1364. doi:10.1111/j.1476-5381.2011.01238.x.
Enlaces externos
- Esta obra contiene una traducción derivada de «alpha-Pinene» de Wikipedia en inglés, publicada por sus editores bajo la Licencia de documentación libre de GNU y la Licencia Creative Commons Atribución-CompartirIgual 4.0 Internacional.

-alpha-pinene-3D-balls.png)
-alpha-pinene-3D-balls.png)