Fórmula estructural

La fórmula estructural de un compuesto químico es una representación gráfica de la estructura molecular, que muestra cómo se ordenan o distribuyen espacialmente los átomos. Se muestran los enlaces químicos dentro de la molécula, ya sea explícitamente o implícitamente. Por tanto, aporta más información que la fórmula molecular o la fórmula desarrollada.[1] Hay tres representaciones que se usan habitualmente en las publicaciones: fórmulas semidesarrolladas, diagramas de Lewis y en formato línea-ángulo. Otros diversos formatos son también usados en las bases de datos químicas, como SMILES, InChI y CML.
A diferencia de las fórmulas químicas o los nombres químicos, las fórmulas estructurales suministran una representación de la estructura molecular. Los químicos casi siempre describen una reacción química o síntesis química usando fórmulas estructurales en vez de nombres químicos, porque las fórmulas estructurales permiten al químico visualizar las moléculas y los cambios que ocurren.
Muchos compuestos químicos existen en diferentes formas isoméricas, que tienen diferentes estructuras pero la misma fórmula química global. Una fórmula estructural indica la ordenación de los átomos en el espacio mientras que una fórmula química no lo hace.

Fórmulas semidesarrolladas
En las primeras publicaciones de química orgánica, cuando el uso de gráficos estaba severamente limitado, surgió un sistema basado en textos para describir las estructuras orgánicas en una línea de texto. Aunque este sistema tiende a fracasar con compuestos cíclicos complejos, sigue siendo una forma útil y simple de representar estructuras sencillas como la molécula de etanol.
Estructuras de Lewis y fórmulas desarrolladas
Las estructuras de Lewis[2] y las fórmulas desarrolladas son fórmulas gráficas planas que muestran la conectividad entre átomos, pero a las que falta información sobre la estructura tridimensional de las moléculas. Los diagramas de Lewis son usados sobre todo para moléculas lineales pequeñas o con compuestos inorgánicos.[cita requerida] Una línea sencilla (-) representa un enlace sencillo entre dos átomos o un par de electrones no compartido.

Dos y tres líneas paralelas (=, ) representan enlaces dobles y triples, respectivamente. Alternativamente, se pueden usar puntos (•) para representar electrón desapareado. Ocasionalmente, sólo se usan puntos y esas estructuras se llaman estructuras de Lewis de puntos.[cita requerida]
Estructuras tridimensionales
Las fórmulas estructurales son aquellas que muestran adecuadamente una representación tridimensional de la ordenación o distribución de los átomos en la molécula. Requieren el empleo de diagramas con perspectiva, la indicación de ángulos y distancias de enlace, llegando al empleo de modelos moleculares bi y tridimensionales que muestran adecuadamente dicha estructura espacial. Su mayor dificultad reserva estas representaciones para moléculas más complejas, como los compuestos orgánicos, complejos de coordinación y sustancias de interés en Bioquímica.
Existen varios métodos para representar la estructura u ordenación tridimensional de los átomos en una molécula.
Proyección de Fischer
La proyección de Fischer[3] se usa fundamentalmente para monosacáridos lineales. La columna o eje vertical representa una estructura que se asume estará situada en el plano del papel y a la que se enlazarán los diferentes sustituyentes.

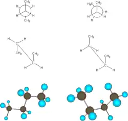
Proyección de Newman
La proyección de Newman[4] y la proyección de caballete se usan para representar la estereoquímica o disposición espacial de dos átomos de carbono conectados por un enlace covalente sencillo.
Es útil para derivados del etano y otros compuestos relacionados. En ellos se puede estudiar el fenómeno de la isomería conformacional y la existencia de confórmeros sinclinales, anticlinales, etc.
En las siguientes representaciones de la molécula de butano, C4H10, podemos considerar este compuesto como una molécula de etano con dos grupos metilo en sus extremos.

Proyección de Haworth de la ß-D-Glucosa.
Proyección de Haworth
La proyección de Haworth se usa para azúcares cíclicos, como las hexosas, que pueden interconvertirse entre una estructura de cadena y una estructura cíclica llamada conformación hemiacetal.[5] Estas proyecciones son las más próximas a la realidad para este tipo de compuestos.
Fórmulas de esqueleto
Las fórmulas de esqueleto o fórmulas de armazón[6] son la representación estándar para moléculas orgánicas más complejas. En ellas no aparecen los átomos de carbono ni los de hidrógeno. Los átomos de carbono (C) se representan como los vértices (esquinas) y terminaciones de segmentos de línea que no están señaladas con ningún otro símbolo de elemento químico. Se supone a la vez que cada átomo de carbono está unido a tantos átomos de hidrógeno como sea necesario para que tenga cuatro enlaces en total. Otros átomos distintos del C y el H o grupos radicales (R) deben escribirse de modo explícito.
|
|
|
|---|---|---|
| Fórmula de esqueleto del isobutanol o metilpropan-1-ol |
Fórmula de esqueleto de la estricnina mostrando cinco enlaces por encima del plano |
Adición de bromo a un alqueno |
La quiralidad en las fórmulas de esqueleto se indica por el método de la proyección de Natta. Las líneas en forma de cuña, de color sólido o de línea de puntos, representan enlaces que apuntan por delante del plano del papel o por detrás del mismo, respectivamente. Los segmentos de línea normales representan enlaces en el plano del papel.
Representación de macromoléculas
La representación de macromoléculas como proteínas o ácidos nucleicos (ADN, ARN) requiere del empleo de diagramas más complejos, más próximos a los modelos moleculares que a las fórmulas químicas.
|
|
|
|---|---|---|
| Estructura tridimensional de una proteína mostrando hélices y uniones. (Diagrama de cintas) |
Fragmento de ADN | Estructura de ARN (modelo de poliedros) |
Véase también
Enlaces externos
Referencias
- ↑ Química: fundamentos experimental. Publicaciones científicas y de tecnología aplicada. Robert W. Parry. Editorial Reverté, 1973 ISBN 8429174664.Pág. 519
- ↑ Principios de química. Richard E. Dickerson. 3ª ed. Editorial Reverté, 1992. ISBN 8429171754. Pág. 350 y ss
- ↑ Química orgánica. John McMurry. 6ª ed. Cengage Learning Editores, 2005. ISBN 9706863540. Pág. 945
- ↑ Pág. 104
- ↑ Biomoléculas: lecciones de bioquímica estructural. José M. Macarulla, Félix M. Goñi. 3ª ed. Editorial Reverté, 1987. ISBN 8429173382. Pág. 36
- ↑ Química orgánica: conceptos y aplicaciones. Philip S. Bailey. Editorial Pearson Educación, 1998. ISBN 9701701208. Pág. 45





