Policétido sintasa
Una policétido sintasa (PKS) es un complejo multienzimático que biosintetiza precursores de productos naturales denominados policétidos.[1]
Tipos de PKS
Los PKS pueden ser clasificados en tres grupos:[1]
- Tipo I: Proteínas largas, modulares.
- Tipo II Agregados de proteínas monofuncionales .
- Tipo III Proteínas pequeñas sin proteína acarreadora de acilos.
Las PKS Tipo I son subdivididas en:
- Iterativa: Reutilizan los dominios en un ciclo.
- Modular: Contiene una secuencia de módulos separados y no repiten los dominios, a excepción de las aciltransferasas.
Las PKS iterativas pueden ser divididas a su vez en:
- NR-PKSs — no-reductiva
- PR-PKSs — Parcialmente reductiva
- FR-PKSs — totalmente reductiva, correspondería a las ácido graso sintasas (FAS).
Dado que las policétido sintasas están relacionadas con las ácido graso sintasas (FAS), se explicarán éstas primero (V. Biosíntesis de ácidos grasos):
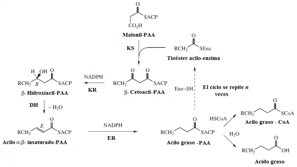
Una ácido graso sintasa (FAS) es un complejo multienzimático que realiza primero una condensación tipo Claisen con descarboxilación entre una unidad de malonilo unido a una subunidad de una proteína acarreadora de acilos (PAA o en inglés ACP) y un sustituyente acetilo unido a la enzima. La condensación la realiza una subunidad de cetosintasa (KS). En el caso de las FAS, se lleva a cabo una reducción biológica del grupo carbonilo de β-cetoácido hasta un grupo metileno, primero reduciendo al alcohol (Ceto reductasa, KR), deshidratando el alcohol formado (Deshidratasa, DH) e hidrogenando el alqueno (Enoil reductasa, ER). Este ciclo de reducciones se repite progresivamente, dando así un ácido graso:


PKS Tipo I
Las PKS Tipo I en general se pueden dividir en dos grupos, iterativas y modulares.
Las PKS tipo I modulares están organizadas en series de subunidades enzimáticas que reducen parcial o totalmente (o pueden no reducir) el grupo ceto formado, de acuerdo a la codificación de las subunidades KR, DH y ER. Cada unidad produce una elongación de la cadena:[1]

Las PKS iterativas utilizan los mismos dominios catalíticos que las modulares, con la excepción de que todo el proceso se lleva a cabo en un solo polipéptido que es utilizado repetitivamente para generar el policétido precursor completo:[1]

PKS Tipo II
Las PKS tipo II sólo contienen dos dominios KS, KSα y KSβ. Las PKS tipo II iterativas efectúan condensaciones de Claisen sucesivas, sin reducir el grupo ceto formado. Así, se forman precursores denominados ácidos poliacéticos:

PKS Tipo III
Las PKS tipo III también producen cetoácidos, pero contienen múltiples dominios catalíticos y utilizan un mecanismo distinto a la proteína acarreadora de acilos (ACP).