Policétido

Los policétidos son metabolitos secundarios de bacterias, hongos, plantas y animales. Los policétidos son biosintetizados por la polimerización de subunidades acetilo, y propionilo obtenidas por descarboxilación de malonil coenzima A o metilmalonil coenzima A en un proceso similar a la biosíntesis de ácidos grasos (una condensación de Claisen). De hecho las enzimas de biosíntesis de ácidos grasos son consideradas como una variante de las policétido sintasas[1]​ Son los bloques de construcción de un amplio rango de productos naturales.

Los policétidos son estructuralmente una familia muy diversa de productos naturales con actividades biológicas y propiedades farmacológicas diversas. En uso comercial hay antibióticos policétidos, antifúngicos, citostáticos, anticolesterolémicos, antiparasíticos, promotores del crecimiento animal, e insecticidas naturales.

Biosíntesis

Los policétidos son sintetizados por complejos enzimáticos denominados policétido sintasa.[1]​ Debido a las similitudes de los mecanismos entre los ácidos graso sintasas (FAS) y las policétido sintasas (PKS), estas últimas se clasifican según la nomenclatura de los tipos de FAS, con algunas modificaciones adicionales según sea necesario.[2][3]

La diversidad de los policétidos depende de cuatro factores: el tipo de policétido precursor,las unidades de iniciación y extensión, el número de unidades ensambladas y las modificaciones posteriores del precursor.[4]

Tipos de policétidos precursores

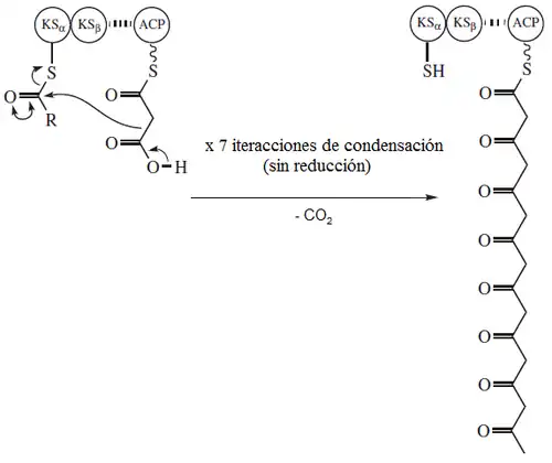
Un policétido precursor es un compuesto que sirve de partida para la síntesis de otros policétidos. Se forman por condensaciones sucesivas de Claisen. La diversidad de los policétidos precursores depende de las operaciones de reducción del grupo β-cetoácido formado. Cuando por cada elongación producida por una condensación de Claisen la cetona es reducida hasta grupo metileno, se forma un ácido graso y la enzima entonces es una ácido graso sintasa (FAS):

Esquema que representa la biosíntesis del ácido palmítico

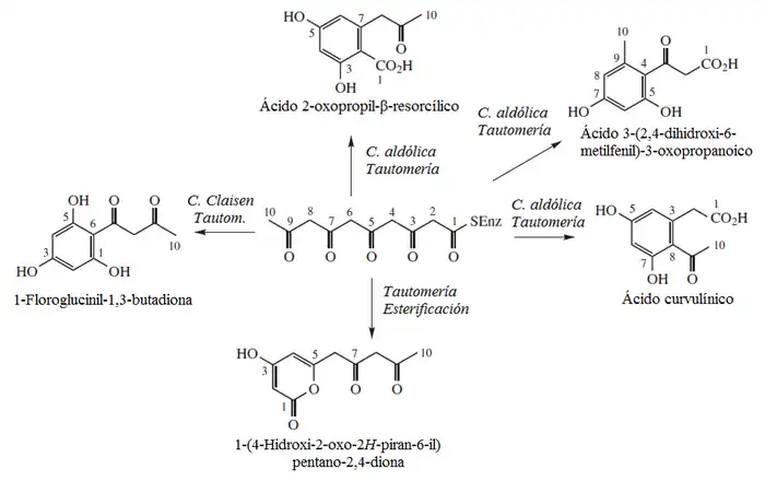
Un tipo muy común de precursor policétido es el ácido poliacético, el cual se forma cuando en todas las operaciones de elongación no se lleva a cabo ninguna reducción:

Formación de un ácido poliacético

Otro tipo de precursor policétido es aquel en donde los patrones de reducción son intermedios. Un ejemplo típico son los policétidos modulares, en donde la PKS contiene subunidades distintas con diferentes niveles de reducción. El producto es un compuesto con patrones de reducción variados:

Ejemplo de una PKS tipo I modular

Unidades de iniciación y extensión

Cuando un policétido se va a sintetizar, las PKS parten de dos moléculas (de manera análoga a la síntesis de ácidos grasos):[2]

  • Una unidad de iniciación, la cual es un ácido esterificado a una unidad de Coenzima A; esta molécula se une a la proteína acarreadora de acilos y es la que funciona como aceptora primera del carbanión de acuerdo al mecanismo de la condensación de Claisen

El siguiente cuadro muestra las principales unidades de iniciación reportadas en diversos policétidos:

Tabla resumen.
Unidades de iniciación comunes en policétidos.[2]
Nombre Estructura Ejemplos de policétidos que lo contienen
Acetil CoA
Común en varios policétidos y ácidos grasos
Propionil CoA
Eritromicina
Isobutiril CoA
Ácido 15-metilhexadecanoico; Floroisobutirofenona; Hiperforina
2-metilbutiril CoA
Ácido 12-metiltetradecanoico
Hexanoil CoA
Aflatoxinas
3-metilbutiril CoA
Ácido 15-metilhexadecanoico
p-hidroxicinamoil CoA
Flavonoides y estilbenos
2-Ciclopentenil CoA
Ácido hidnocárpico
2-metil-tiazolcarbonil CoA
Epotilonas
Antraniloil CoA
Quinolonas y acridonas
  • Varias unidades de extensión, las cuales consisten en ácidos malónicos α-sustituidos o no, esterificados con un tiol de un residuo de cisteína de la KS. El mecanismo general de la obtención de las unidades de extensión es la carboxilación en α de un ácido con hidrógenos disponibles en esta posición, pero pueden obtenerse ciertas unidades por otros medios. Pueden clasificarse también por su tipo de unión: si van unidos a CoA o si van unidos a la ACP.[3][2]

El siguiente cuadro muestra las principales unidades de extensión reportadas en diversos policétidos:

Tabla resumen.
Unidades de extensión comunes en policétidos.[2]
Grupo acilo Estructura Ejemplos de policétidos que lo contienen Tipo de unión
Malonilo
Común en varios policétidos y ácidos grasos CoA
Metilmalonilo
Eritromicina CoA
Etilmalonilo
Germicidinas CoA
Cloroetilmalonilo
Salinosporamidas CoA
(2R)-Metoximalonilo
Ansamitocina P-3, bafilomicina A1, concanamicina A, geldanamicina, herbimicina ACP
(2R)-Hidroximalonilo
Blasticidina A, Aflastatina A ACP
(2S)-Aminomalonilo
Zwittermicina A ACP

Número de unidades ensambladas

Por lo general, los policétidos que provienen de precursores poliacéticos se diversifican a medida que incrementa la longitud de su cadena. Los pentacétidos, hexacétidos, heptacétidos y octacétidos son los más comunes en la naturaleza. Sin embargo, los policétidos modulares pueden llegar hasta unidades de 15 pares de carbonos.[3][2]

Modificaciones posteriores

Los policétidos precursores pueden modificarse después del ensamble para sufrir reacciones posteriores de ciclización, oxidación, reducción, descarboxilación, transposición, alquilación, conjugación con otras moléculas o dimerización. Estas posibilidades de reaccionar posteriormente contribuyen significativamente a la alta diversidad de compuestos policétidos.[3][2]

Biosíntesis del precursor de la doxorubicina, la є-rodomicinona

Ejemplos

A continuación se enlistan los policétidos más comunes en bioquímica y farmacognosia:

- Tricétidos: Lactona del ácido triacético, xantofusina; cromanona LL-D253α, osumundalactona; ácido sórbico; ácido parasórbico; parasorbósido; gerberina.
Estructuras de tricétidos: Floroglucinol y lactona triacética
- Tetracétidos: Asperlina; radicinol, radicinina; ácido orselínico, orcinol; ácido floroglucínico;floroacetofenona; flopropiona; aspidinoles B, P y V; florina; picraquassiósido; taxicatina; mirciafenonas A y B; domesticósido; equiósido; hircanósido; malotofenona; pilosanol C; melanervina;vidalol B; 3,5-Dihidroxifenilglicina; ácido 6-metilsalicílico; m-cresol; ácido terreico; isoepoxidon; ácido gentísico; filostina; patulina; ácido penicílico; fumigatina; espinulosina; glioroseína; barnol; sharonelina; cuadrilineatina; ácido gladiólico; flavipina; ácido ciclopáldico; oosporeína; fenicina; ácido panárico; ácido porfirílico; ácido úsnico; ácido isoúsnico; protulactonas; ácido estipitático y ácido estipitatónico.
Tetracétidos
Ácido orselínico
Floroacetofenona
Ácido penicílico
Patulina
Ácido úsnico
- Pentacétidos: Meleína; austdiol; actinobolina; oosponol; canescina;2-metilcromanonas; esclerina; esclerotonina A; daldininas A y B; terreína; aspirona; asperlactona;harzianólido; ácido curvulínico; ácido curvúlico; curvulina; curvina; curvulol; marticina; ácido coletruncoico; kotanina; orlandina; siderina; desertotinas A, B y C; flaviolina; mompaína; esclerona; escitalona; plumbagina; sepedonina; molisina.
Pentacétidos
Plumbagina
- Hexacétidos: Ascoquitina; maltorrizina; ortosporina; diaportina; O-metilasparvenona; charteusina; sorbicilina; sorbofenonas; integrasona; aloenina.
- Heptacétidos: Palitantina, frecuentina, auroglaucina, flavoglaucina, monocerina; monocerona; ácido pulvilórico; griseofulvina, griseofenonas A, B y C; liquexantona, artetolina, ácido tiofánico, ácido tiofanínico, turingiona, javanicina; fusarrubina; solaniol; purpurogenona; semivioxantina; rubrofusarinas; fonsecina; flavasperona; ácido rodocladónico; botralina; grafislactonas A, B, C, D, G y H; alternariol; SB238569; quetociclinonas; atrovenetina; herqueicrisina; ácido fúlvico; citromicetina; lamberteloles A-C; varitriol.
- Octacétidos: Endocrocina; emodina; islandicina; fisciona; crisofanol; aloe-emodina; reína; atrocrisona; SEK 4; SEK 4b; paquibasina; xantorina; dermoglaucina; dermocibina; AO-1; AO-2; fragilina; papulosina; helmintosporina; cinodontina; catenarina; eritroglaucina; teleoquistina; roseopurpurina; tritisporina; falacinal; ácido parietínico; alternosolanoles A y B; bostricina; macrosporina; aspertecina; damnacantal; lucidina; rubiadina; soranjidiol; morindona; molinsina; ácido kermético; kalafungina; granaticina; medermicina; eritrostominona; torosacridona; vismionas; atrocrisona; monodictiofenona; tajixantona; shamixantona; arugosinas; sulocrina; questina; ácido astérrico; geodina; geodoxina; pinselina; erdina; ácido pinsélico; granticina; nanomicinas; cardinalinas; ventiloquinona.
- Otros policétidos: Benzopirenomicina; bikaverina; SMA 76a; nalgiolaxina; nalgiovensina; prugosenos; ascospirocetales; benastatinas; fredericamicinas; colinona; griseorodinas; lenticulona; citreoviridina; estreptolidigina; asteltoxina; aurovertinas; fostreicina; ambruticina; enterocinas, wailupemicinas; elasnina; gimnoconjugatinas; ácido endiándrico; epoxiquinoles.
- Anguciclinas: rabelomicinas; emicinas; fridamicinas; fujianmicinas; ocromicinona; MM 47755; PD 116779; rubiginonas; SM 196 B; tetrangomicina; X-14881; tetrangulol; marmicinas; TAN-1085; BE-7586; sakiomicina; yoronomicina; elmicinas; FR 901366; BA-I2100MY-1; urdamicinas; C104; benzantrinas; aquayamicina; agreticina; serie BA-12100; grincamicina; kerriamicinas; serie PI-080; saquayamicinas; vineomicinas; capoamicinas; C57; galtamicina; Q-1043; SS-228R; kinamicinas; pradimicina; benanomicina; frenolicina; A-74528; lomaiviticinas; halenoquinona; xestoquinona; gilvocarcinas.
- Acilpolicétidos: Incluyen anillos aromáticos con cadenas de ácidos grasos como unidades de iniciación. ácidos anacárdicos, urushioles; resorstatina; DB-2073; sorgoleonas; nostociclofano; cilindrociclofanos; xantoxilina; oniósido; verticilona; vertinona; thouvenoles; schimperiol; bissomerulioles A-H; nodifloridinas; feofuranos; pestalotiopsonas; xilindeína; ankaflavina; monascina; monascorubrina; triquiona; homotriquiona; lindbladiona; frenolicinas; alnumicina; feocromicinas; palitantina; ácido ambuico; ácido torreyánico.
- Aflatoxinas: Ácido norsolorínico; averantinas; averufina; versicolorinas; esterigmatocistina; aflatoxinas; dotistromina.
Aflatoxina B1
- Polimetilciclohexatrionas, aspidinas y otros compuestos relacionados: Ácido sincárpico; leptospermona; isoleptospermona; grandiflorona; papuanona; ácido filicínico; mirigalona; desmodumotinas; emoridona; psorotamnonas; reguladores G; aspidinas; albaspidinas; margaspidinas; paraaspidinas; abreviatinas; floraspinas; ácido flavaspídico; agrimoles; ácido filíxico; triaspidina; trisabreviatina; trisparaspidinas; triaemulina.
- Tetraciclinas: Clortetraciclina; oxitetraciclina; pretetramida; anhidrotetraciclina; doxorubicina; daunorubicina; ácido alclanónico; aclacinomicina; nogalamicina; estefamicinas; ε-rodomicinona; pluramicinas; hedamicina; R1128.
Tetraciclina
- Florotaninos: Compuestos polifenólicos encontrados en algas del filo Phaeophyta. De acuerdo al patrón de conexión de las unidades de floroglucinol, se pueden clasificar en fuhaloles, floretoles, fucoles, fucofloretoles, ecoles y carmaloles.
Trifuhalol C, un florotanino
- Orceínas: Pigmentos derivados de la fenoxazona que de acuerdo a los grupos funcionales contenidos pueden clasificarse como hidroxiorceínas, aminoorceínas y aminoorceiminas. Se han aislado del liquen Roccella tinctoria.[5]
α-Aminoorceína
- Dépsidos:' Ésteres de ácidos polifenólicos de origen policétido. Ácido girofórico; ácido estenospórico; ácido evérnico; atranorina; jaboticabina; geomicinas; ácido fisódico.
Ácido girofórico
- Quinonas y cromonas diméricas': Los organismos las biosintetizan por acoplamiento de radicales libres. Micocrisona;truncatona, hipoxilonoles A y B; bulgareína; bulgarrodina; daldinionas A y B; horteína; esferulona; xantomegnina; viomeleína; rubrosulfina; viopurpurina; flocosina; aurofusarina; cefalocromina; fuscofusarina; quetocrominas A-D, isoquetocrominas, ustilaginoidinas A-C, xantoviridicatinas; elsinocromos; cercosporina; fleicromo; gimnoscromos A-C; tolipocladina; isotolipocladina; gimnocromos A-D; isogimnocromos A-D; hipocrelinas; nigerona; duclauxina; xenoclauxina; sennidinas A y B; sennósidos A-D; protohipericina; hipericina; pseudohipericina; eskirina; iridoskirina; punicoskirina; roseoskirina; rodoislandina B; aurantioskirina; rugulosina; rubroskirina; aspergiólido A; actinorrodina; penicilopsina; flavooscurinas; flavomanina; ergocromos; ergocrisinas; ácido secalónico B; gardiduoles A-C; foliosona; isofoliosona; knifolona; sinapiquinona; sinapicolona; austroviridinas; pseudoflegmacinquinonas; dermocanarinas.
  • Alomelaninas
  • Dímeros de sorbicilinas: Tricodimerol, bislongiquinólido, bisvertinol (Aislados de especies de Trichoderma[6]​); trisorbicilinona A (Aislada de Phialocephala sp.[7]​)
  • Azafilonas: mitorubrinol, mitorubina, mitorubrinal y ácido mitorubrínico; entonaeminas A, B y C; rutilinas A y B.
  • Policétidos lineales
a. Acilfurolactonas: Ácido multicolánico; ácido multicólico; ácido multicolósico; bassianolona.
b. Acetogeninas annonáceas y relacionadas: Annonacina; uvaricina; ceratiopirona; xerulina; ácido xerulínico; ascoslactonas; annoninas; annonacinas; esquamosina; asimicina; cohibina; bulatacina; trilobacina; roliniastatina; solamina; epomuriceninas; epomuseninas; epomurininas.
Uvaricina, una acetogenina
c. Acetogeninas de organismos marinos: Itomalenos
d. Poliéteres: Tetronomicina; tetronasina; durinskiol; monensinas; reveromicinas; lisocelina; ferensimicinas; nigericina; abierixina; lasalócidos; grisoxirinas; octaciclomicina; UK-58852; ferensimicinas; narasina; pectenotoxinas; azaspirácidos; espirólidos; gimnodiminas; ionomicina; penisporólidos; tautomicina; RM-B; ácido okadaico; halicondrinas; eribulina; nonactina; brevetoxina; ciguatoxina; yesotoxinas; gambiertoxinas; adriatoxina; palitoxina; maitotoxina.
Monensina
Nigericina
Ciguatoxina
e. Polipropionatos: Discodermolida;denticulatinas; sifonarinas; diemensinas; dolabriferol; dolabélidos; baconipironas; siserronas; caloundrinas; maurenona; maurapironas; vallartonas; auripironas; ilikonapirona; peroniatroles; fusaripironas; nalodionol; aflastatina; ciercenos; tridaquionas; tridaquiapironas; ocelapironas; elsiapironas; crispateno.
Discodermólido
f.Otros policétidos lineales: Tautomicinas; blasticidina; salinicetales; plakortenona; plakórtido P; espongosoritinas; haterumadioxinas; fuligorubrina; fisarocromos; butirolactoles; salinipironas; leptomicinas; sultriecina; pacificanonas; miriaporonas; abisomicinas; áci dos pseudomónicos
  • Espirotetronatos: Kijanimicina; tetrocarcinas.
  • Indenos: Cianosporásidos; espinosinas; indanomicina; stawamicina; cafamicina.
  • Enediinos: Esperamicinas; caliqueamicina; C-1027; dinemicinas; neocarzinostatina.
Caliqueamicina γ1
  • Salinosporamidas
Salinosporamida A
Lovastatina
a. Macrodiólidos: Pirenoforina; pirenoforol; coletodiol; coletocetol; coletoalol; clonostaquidiol; elaiofilina, swinhólidos.
b. Lactonas de ácidos poliacéticos: Diplodiálido A; pirenólido A; cefalosporólido B; decarestricnina; putaminotoxina; recifeiólido; cladospólido A.
c. Resorcinolactonas: Radicicol; hipotemicina; aigialomicinas; zearalenona; lasiodiplodina; monocilinas; pochoninas; apicularenos; salicilhalamidas; lobatamidas.
d. Pentaólidos: NG-011 y NG-012
e. Macrólidos modulares: Eritromicinas; picromicina; oleandomicina; espiramicinas; platenólido; leuconólidos; narbonólido; metimicina; tilosina; megalomicinas; rizoxina; lankacidinas; lankacidinoles; aurísidos; calipeltósidos; epotilonas; forbásidos.
Eritromicina A, un macrólido
f. Macrólidos poliénicos: Anfotericinas; nistatinas; roxaticina; micoticinas; dermostatina; RK-397; caylobólido; macrolactinas; dificidina; palmerólidos; latrunculinas.
Nistatina
g. Macrólidos tipo avermectina: Avermectinas; milbemicina; nemadectina; LL-F28249α; moxidectina.
Avermectinas B1a y B1b
h. Macrólidos tipo ansa: Ansamicinas; estreptovaricinas; rifamicinas; geldanamicina; maytansina; tolipomicinas; divergólidos
Geldanamicina
i. Otros macrólidos: Tacrolimus; ascomicina; geldanamicina; herbimicinas; ansamitocinas; miyakólido; tolitoxina; escitoficina; rapamicina; bafilomicina; higrobafilomicina; higrolidina; nargenicina; concanamicina; anfidinólidos; iejimálidos; arenicólidos; mixovirescina; anfidinolactonas; iriomoteólidos; briostatinas; sorafenos; arcazólidos; neopeltólido; misakinólidos; swinhólidos; borrelidina; espongidepsina; aspergílidos; tedanólidos; candidaspongiólidos; clorotricina; condropsinas; halocoblélido; poecilatrinas; teonezólidos; simbiodinólido; zooxantelamida; boromicina; aplasmomicina; fijianólidos; espirastrelólidos;.
  • Policétidos mixtos. Presentan conjugación, acoplamiento o condensación con unidades provenientes de otras rutas metabólicas:

- C-Glucósidos: Ácido carmínico

- Policétidos c/terpenos o aminoácidos ramificados:Germicidinas; floroisobutirofenona; ácido micofenólico; psorospermina; psorofebrina;

- Policétidos c/derivados del shikimato: Flavonoides; chalconas; estilbenoss; 2-fenilvinilcromonas; criptopiranmoscatonas; florobenzofenonas; xantonas floroglucinólicas; ácido norwedélico; ceanofendlina; hispolon; ácido epiplakínico; escaurinas; serpenteno; pentaporinas; bitungólidos; lignarenonas; foslactomicinas; estrobilurinas.

- Policétidos alcaloidales: Ácido fusárico; pinidina; korupensaminas; michelaminas A y B; cassiarinas A - F; monascorubramina; PP-R; rubropunctamina; chalciporona; aspertinas; rumbrinas; auxarconjugatinas; pseurotina; sinerazol; curacina A; caliculinas; clavosinas; geometricinas; swinhoeiamidas; piericidinas; lagunamicina; lactidomicina; ciclohexamida; estreptimidona; azoxistrobina.

- Policétidos c/ péptidos o aminoácidos: Antimicinas; ocratoxinas A, B y C; aminocoumacinas; zwittermicina; leinamicina; azinomicinas; carzinofilina; boletocrocinas; criptoficinas.

Ocratoxina A

- Amidas y azoles: Pederinas; micalamidas; icadamidas; irciniastatina; psimberina; onamidas; dariamidas; asukamicinas; bengamidas, bengazoles; oxazolomicina; fuligopirona; shishididemnioles; mixotiazoles; henoxazoles; kabiramidas; jaspisamidas; ulapualido; dizorazoles.

- Elfamicinas: Kirromicina; kirrotricina; azdimicina; efrotomicina; mocimicinas; heneicomicina; factumicina; MSD A63A; L681,217; fenelfamicinas.

- Derivados de la aureatina: Aureatinas; serie SNF4435; orinocina; espectinabilina.

- Citocalasinas

Citocalasina B

Referencias

  1. a b Robinson JA (1991). «Polyketide synthase complexes: their structure and function in antibiotic biosynthesis». Philos Trans R Soc Lond B Biol Sci. 332: 107-114. PMID 1678529. doi:10.1098/rstb.1991.0038. 
  2. a b c d e f g Yolande A. Chan, Angela M. Podevels, Brian M. Kevanya and Michael G. Thomas. "Biosynthesis of polyketide synthase extender units". Nat. Prod. Rep. (2009) 26, 90–114
  3. a b c d C. Hertweck. "The Biosynthetic Logic of Polyketide Diversity".Angew. Chem. Int. (2009) 48, 4688 – 4716
  4. T. J. Simpson, in ‘Biosynthesis,’ vol. 5, ed. J. D. Bu’lock, Specialist Periodical Reports, The Chemical
  5. Beecken et al. Biotechnic & Histochemistry (2003) 78(6), 289
  6. Adbdel-Lateff. Z. Naturforsch (2008), 63c, 631
  7. Dehai et al. Tetrahedron Letters (2007), 48(30), p. 5235