Reacción de Guerbet
La Reacción de Guerbet es una reacción orgánica que consiste en convertir alcoholes alifáticos primarios en su alcohol dímero β-alquilado con una pérdida de un equivalente de agua. Esta reacción requiere hidróxidos de metales alcalinos o alcóxidos y catalizadores de hidrogenación (por ejemplo, níquel Raney), temperaturas altas (220 °C) y presión. Fue descrita por el químico francés Marcel Guerbet (1861-1938).[1]

La publicación original de 1899 se refería a la conversión de n-butanol y 2-etil-1-hexanol. Los alcoholes derivados de esta reacción se denominan alcoholes de Guerbet. El uso de esta reacción en alcoholes alifáticos de cadena larga da como producto a moléculas tensoactivas.
Mecanismo de reacción
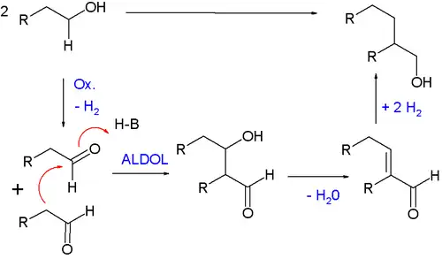
El mecanismo de la reacción de Guerbet es una secuencia de cuatro pasos.
- 1) El alcohol se oxida a aldehído.
- 2) Condensación aldólica entre dos aldehídos.
- 3) Formación del compuesto α,β insaturado por deshidratación del aldol.
- 4) Hidrogenación para producir el alcohol.[2]

La reacción de Cannizzaro es una reacción secundaria cuando dos moléculas de aldehído reaccionan para formar el alcohol correspondiente y su ácido carboxílico. Otra reacción secundaria es la reacción de Tishchenko.
Aplicaciones
Nuevos sistemas catalíticos han sido activamente investigados, sobre todo para reducir la temperatura del proceso. En un estudio publicado, el 1-pentanol se hace reaccionar con un catalizador de deshidrogenación de iridio (Cp* representa el ligando pentametilciclopentadieno), ter-butóxido de potasio como base y p-xileno como solvente.[3]
Una pequeña cantidad de 1,7-octadieno es necesario como aceptor de protones.

Referencias
- ↑ Marcel Guerbet (1909). «Condensation de l'alcool isopropylique avec son dérivé sodé; formation du méthylisobutylcarbinol et du diméthyl-2.4-heptanol-6». Comptes rendus de l'Académie des sciences 149: 129-132.
- ↑ S. Veibel and J. I. Nielsen (1967). «On the mechanism of the Guerbet reaction». Tetrahedron 23 (4): 1723-1733. doi:10.1016/S0040-4020(01)82571-0.
- ↑ Toyomi Matsu-ura, Satoshi Sakaguchi, Yasushi Obora, and Yasutaka Ishii (2006). «Guerbet Reaction of Primary Alcohols Leading to -Alkylated Dimer Alcohols Catalyzed by Iridium Complexes». Journal of Organic Chemistry 71 (21): 8306-8308. PMID 17025333. doi:10.1021/jo061400t.
Enlaces externos
- A Review of Guerbet Chemistry Anthony J. O’Lenick, Jr. http://www.zenitech.com Archivado el 9 de febrero de 2011 en Wayback Machine. Link