Reacción de Prins

La reacción de Prins es una reacción orgánica que consiste en la adición electrofílica de un aldehído o cetona a un alqueno o alquino seguida de una captura de un nucleófilo.[1][2][3] El resultado de la reacción depende de condiciones de reacción (esquema 1). Con agua y un ácido fuerte como ácido sulfúrico en el medio de reacción y con formaldehído como carbonilo electrofílico produce un 1,3 -diol. Cuándo el agua se encuentra ausente, el intermediario catiónico pierde un protón para dar un alcohol alílico. Con un exceso de formaldehído y una temperatura de reacción baja el producto de reacción es un dioxano. Cuándo el agua es reemplazada por ácido acético, se forman los ésteres correspondientes.
Historia
Los reactivos fueron empleados por el farmacéutico holandés Hendrik Jacobus Prins en 1919. En la publicación original reportó la reacción con estireno (esquema 2), pineno, canfeno, eugenol, isosafrol y anetol.

Hendrik Jacobus Prins Descubrió dos reacciones orgánicas nuevas durante su investigación doctoral en el año de 1911-1912. El primero uno es la adición de un compuesto polihalogenado a las olefinas y la segunda reacción es la adición de aldehídos con catálisis ácida a compuestos de olefina. En los estudios tempranos de Prins, la reacción es de naturaleza exploratoria y no atrajo mucha atención hasta 1937. El desarrollo del crack del petróleo aumentó la producción hidrocarburos insaturados. Como consecuencia, la disponibilidad comercial de olefina acoplada con un aldehído incrementó la curiosidad para estudiar la olefina-condensación de aldehído. Más tarde encima, la reacción de Prins emergía como una técnica versátil para formar conexiones C-O y C-C.
[4]

En 1937 la reacción estuvo investigada como parte de una búsqueda para diolefinas para ser utilizadas en goma sintética.

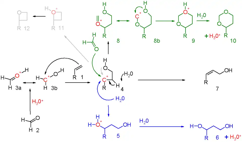
Mecanismo de reacción
El mecanismo de reacción para esta reacción está descrito en el esquema 5. El reactivo carbonílico (2) es protonado por un ácido de Bronsted fuerte para producir un ion oxonio 3 con dos estructuras de dos resonancia las posibles. Este electrófilo participa en una adición electrfílica con el alqueno para formar el intermediario carbocatiónico 4. Exactamente cuánto la carga positiva se encuentra presente en el átomo de carbono secundario es cuando la reacción puede tomar caminos distintos. La evidencia existe para participación de grupo vecino del oxígeno del hidroxilo o su átomo de carbono vecino. Cuándo la reacción global es mayormente concertada, la carga será poco significativa.

Los tres modos de reacción que abren a este oxo-carbenio intermediario son:
- En azul: captura del carbocatión por agua o cualquier nucleófilo adecuado a través del aducto 5 al aducto 1,3.
- En negro: abstracción de protón en una reacción de eliminación a compuesto insaturado alifático 7. Cuándo el alqueno lleva un grupo metileno, la eliminación y la adición pueden ser concertadas con transferencia de un protón alílico al carbonilo de acuerdo a la reacción eno en el esquema 6.

- En verde: la captación del carbocation por una molécula del compuesto carbonílico adicional . En este modo la carga positiva está dispersada sobre el oxígeno y el carbono en la estructura resonante 8 y 8b. Entonces se produce el cierre del anillo a través de los intermediarios 9 al dioxano 10. Un ejemplo es la conversión de estireno a 4-fenil-m-dioxano.[5]
- En gris: solo en reacciones concretas y cuándo el carbocation es muy estable la reacción toma un atajo al oxetano 12. La reacción fotoquímica de Paternò–Büchi entre alquenos y aldehídos a oxetanos es la más viable.
Variaciones
Existen diversas variaciones de la reacción de Prins para volverla más asequible o práctica para síntesis orgánica. Es posible de capturar el catión oxo-carbenio con una variedad grande de nucleófilos. La reacción halo-Prins una modificación con sustitución de ácidos próticos y agua por ácidos de Lewis como el cloruro estánico y el trifluoruro de boro. El halógeno es ahora el nucleófilo recombinándose con el carbocatión. La ciclización de alilpulegonas en el esquema 7 con tetracloruiro de titanio en diclorometano en −78 °C da acceso al esqueleto de decalina con el grupo alcohol y el grupo de cloro predominantemente en configuración cis (91% cis).[6] Esta diastereoselectividad cis observada se debe a la formación intermedia de un alcóxido de triclorotitanio intermediario, el cual hace posible una donación fácil de cloro al carbocatión sobre la misma cara. El isómero trans es predominante (98% cis) cuándo el cambio se realiza con tetracloruro de titanio a temperatura ambiente.

La reacción Prins pinacólica es una reacción en cascada de una reacción de Prins y una transposición pinacólica. El grupo carbonilo en el reactivo del esquema 8[7] está enmascarado como dimetil acetal y el grupo hidroxilo está enmascarado como triisopropilsililéter (TIPS). Con el ácido de Lewis cloruro estánico, el catión oxonio está activado y la transposición pinacólica procede contrayendo el anillo y recuperación de la carga positivo al éter de TIPS qué finalmente forma un grupo de aldehído en el producto final como mezcla de isómeros cis y trans.

Usos
La reacción de Prins se utiliza en síntesis total de productos naturales complejos, por ejemplo, en un paso clave de la síntesis de exiguólido:[8]

Referencias
- ↑ Condensation of formaldehyde with some unsaturated compounds H. J. Prins, Chemisch Weekblad, 16, 64, 1072, 1510 1919
- ↑ Chemical Abstracts 13, 3155 1919
- ↑ The Olefin-Aldehyde Condensation. The Prins Reaction. E. Arundale, L. A. Mikeska Chem. Rev.; 1952; 51(3); 505–555. Link
- ↑ http://shodhganga.inflibnet.ac.in/handle/10603/47651
- ↑ 4-Phenyl-m-dioxane R. L. Shriner and Philip R. Ruby Organic Syntheses, Coll. Vol. 4, p.786 (1963); Vol. 33, p.72 (1953). Article
- ↑ Syn- and Anti-Selective Prins Cyclizations of ,-Unsaturated Ketones to 1,3-Halohydrins with Lewis Acids R. Brandon Miles, Chad E. Davis, and Robert M. Coates J. Org. Chem.; 2006; 71(4) pp 1493 – 1501; Abstract
- ↑ Scope and Facial Selectivity of the Prins-Pinacol Synthesis of Attached Rings Larry E. Overman and Emile J. Velthuisen J. Org. Chem.; 2006; 71(4) pp 1581 – 1587; Abstract
- ↑ Total Synthesis of (+)-Exiguolide Min Sang Kwon, Sang Kook Woo, Seong Wook Na, and Eun Lee Angew. Chem. Int. Ed. 2008, 47, 1733–1735 doi 10.1002/anie.200705018
Enlaces externos
- Prins Reacción en Alcaloide Enlace (enlace roto disponible en Internet Archive; véase el historial, la primera versión y la última). de síntesis total
- Prins Reacción @ organic-chemistry.org