Síntesis de aldehídos de Bouveault
La síntesis de aldehídos de Bouveault es una reacción química que convierte un alcano en un aldehído de un carbono más.

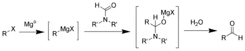
Mecanismo de reacción
El primer paso de la síntesis de aldehídos de Bouveault es la formación de un reactivo de Grignard. Se añade una formamida disustituída, como por ejemplo N,N-Dimetilformamida y se forma un hemiaminal, que es fácilmente hidrolizado en el aldehído deseado.