Timidina trifosfato
| Timidina trifosfato | ||
|---|---|---|
![]() | ||
![]() | ||
| Nombre IUPAC | ||
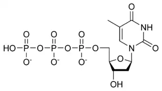
| [(2R,3S,5R)-3-hidroxi-5-(5-metil-2,4-dioxopirimidin-1-il)oxolan-2-il]metil (hidroxi-fosfonooxifosforil) hidrógeno fosfato | ||
| General | ||
| Otros nombres | TTP; Timidina-5'-trifosfato; Timidina 5'-(tetrahidrógeno trifosfato) | |
| Fórmula estructural |
![]() | |
| Fórmula molecular | C10H17N2O14P3 | |
| Identificadores | ||
| Número CAS | 365-08-2[1] | |
| ChEBI | 18077 | |
| ChEMBL | CHEMBL363559 | |
| ChemSpider | 58493 | |
| DrugBank | DB02452 | |
| PubChem | 1151 | |
| UNII | QOP4K539MU | |
| KEGG | C00459 | |
| Propiedades físicas | ||
| Masa molar | 482,168 g/mol | |
| Valores en el SI y en condiciones estándar (25 ℃ y 1 atm), salvo que se indique lo contrario. | ||
La timidina trifosfato o TTP (del inglés thymidine triphosphate) es uno de los cuatro nucleótidos trifosfato que se utilizan en la síntesis de ADN en la célula.
Es conocida también como dTTP (desoxitimidina trifosfato), puesto que ha perdido el grupo hidroxilo del segundo carbono de la ribosa. Ambas denominaciones, TTP y dTTP, se usan para referirse a la misma molécula puesto que, al contrario que para otros nucléotidos como ATP, CTP y GTP, que presentan ambas formas en la célula (adenosina trifosfato y desoxiadenosina trifosfato, por ejemplo), el TTP sólo se encuentra en la célula como desoxiTTP. Esto se debe a que no es usado en el proceso de transcripción, sino sólo en el de replicación.
En el laboratorio es usado por la ADN ligasa para crear extremos protuberantes durante un experimento de clonación.


